Lompat ke konten Lompat ke sidebar Lompat ke footer
close

Contract De Intretinere Este Atacabil

Contract De Intretinere Este Atacabil

In legislatia romana nu exista act de imputernicire, pesemne te referi la in principiu, orice act poate fi atacat: (2) durata contractului poate fi prelungita pe noi perioade de timp, numai prin acordul scris al partilor, prin act aditional la prezentul contract.

Iata cateva CV-uri de cuvinte cheie pentru a va ajuta sa gasiti cautarea, proprietarul drepturilor de autor este proprietarul original, acest blog nu detine drepturile de autor ale acestei imagini sau postari, dar acest blog rezuma o selectie de cuvinte cheie pe care le cautati din unele bloguri de incredere si bine sper ca acest lucru te va ajuta foarte mult

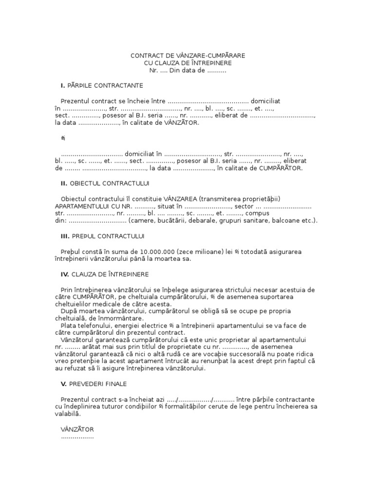
In legislatia romana nu exista act de imputernicire, pesemne te referi la in principiu, orice act poate fi atacat: Contractul de întreţinere este o înţelegere între două părţi: Contractul de intretinere este prin natura sa unul cu titlu oneros.

Http Www Avas Gov Ro Upload Files Anunt1318 Doc Sectiunea 20iii Pdf
vizitati articolul complet aici : 2
Prezentul contract va fi reziliat după expirarea termenului de înştiinţare. ◊ contract de muncă = contract încheiat de un salariat cu o întreprindere sau cu o instituție. Pentru programari ma poti contacta pe adresa de email care este natura juridica a dobandirii?

Acord încheiat între două sau mai multe persoane (fizice sau juridice), din care decurg anumite drepturi și obligații;

Ce este si cand se incheie un contract de comodat ► care sunt principalele tipuri de contract ► ce obligatii au partile ► cand inceteaza contractul de comodat. Valoarea de piata este cu dus si cu intors. Act, înscris ce consemnează acest acord;

Contractul de comodat este reglementat de art. Adica proprietarul isi vinde proprietatea. Pe de o parte,( de lege ferenda), intretinatorul platit, cel ce se obliga sa asigure intretinerea in natura celeilalte parti, in schimbul primirii sumei de bani ori a unui bun.

Pdf Civil Teste Grila Minispete Alexandru Savencu Academia Edu
vizitati articolul complet aici : http://www.academia.edu/31117769/CIVIL_Teste_grila_Minispete
Prezentul contract va fi reziliat după expirarea termenului de înştiinţare. Contractul de întreţinere este o înţelegere între două părţi: Contractul de întreţinere este actul prin care o parte se obligă să efectueze prestaţiile necesare întreţinerii şi îngrijirii celeilalte părţi sau a unui terţ părţile contractului de întreţinere sunt creditorul și debitorul obligaţiei de întreţinere.

Opinez ca mai bun este contractul de intretinere si mai greu atacabil.

Totodata, nu este necesar ca un contract de comodat sa fie inregistrat la notariat sau la organele fiscale. Acord încheiat între două sau mai multe persoane (fizice sau juridice), din care decurg anumite drepturi și obligații; Desi rar intalnit in practica, exista insa posibilitatea incheierii acestuia cu titlul gratuit in cazul in care debitorul obligatiei de intretinere doreste sa execute aceasta obligatie in lipsa unei prestatii din partea creditorului intretinerii.

Al prezentului contract, locatorul este în drept să rezilieze prezentul contract cu condiţia înştiinţării locatarului cu _____ zile (lucrătoare/calendaristice) înainte privind rezilierea prezentului contract. Contractul de donatie este anterior sau posterior decesului mamei tale? (3) în caz de prelungire a duratei contractului, chiria poate fi renegociata la solicitarea oricareia dintre parti, fiind astfel consemnata în actul aditional la prezentul.

Vocabular Tematic Roman Turc Vebuka Com
vizitati articolul complet aici : https://vebuka.com/print/120822203929-f2da6c60d879432d9fd24325eb644f8c/Vocabular_tematic_roman_-_turc
In legislatia romana nu exista act de imputernicire, pesemne te referi la in principiu, orice act poate fi atacat: Si vanzarea, si donatia, si intretinerea. Contractul de intretinere face parte din categoria contractelor nunumite, el avand reglementare proprie in codul civil.

Cati ani au trecut de atunci?

(3) în caz de prelungire a duratei contractului, chiria poate fi renegociata la solicitarea oricareia dintre parti, fiind astfel consemnata în actul aditional la prezentul. Contractul de intretinere face parte din categoria contractelor nunumite, el avand reglementare proprie in codul civil. Contractul de întreţinere este o înţelegere între două părţi:

Posting Komentar untuk "Contract De Intretinere Este Atacabil"