Lompat ke konten Lompat ke sidebar Lompat ke footer
close

Integrare Prin Parti Formula

Integrare Prin Parti Formula

La formula di integrazione per parti (o teorema) è un utile risultato della teoria degli integrali secondo riemann che permette di calcolare agevolmente integrali definiti e indefiniti, nel caso in cui l'integranda sia data dal prodotto di funzioni in cui una delle due è una derivata facile da integrare. Integrala de mai sus o calculam cu ajutorul metodei integrarii prin parti, astfel consideram , deoarece stim ca observat ca am luat funcita sub derivare ca fiind x si si integrala de mai sus devine:

Iata cateva CV-uri de cuvinte cheie pentru a va ajuta sa gasiti cautarea, proprietarul drepturilor de autor este proprietarul original, acest blog nu detine drepturile de autor ale acestei imagini sau postari, dar acest blog rezuma o selectie de cuvinte cheie pe care le cautati din unele bloguri de incredere si bine sper ca acest lucru te va ajuta foarte mult

Altre formule utili al calcolo degli integrali si trovano al link. Multe formule de recurență se stablesc prin integrare prin părți repetată. Dacă sunt funcţii derivabile şi cu derivatele continue, atunci citim aceasta spunând că este o primitivă a funcţiei.

Primitive Ale Unei Functii Si Integrala Nedefinita
vizitati articolul complet aici : https://liceunet.ro/ghid-calcul-integral/primitive
La formula dell'integrazione per parti. Mai intai am aplicat formula de mai sus pentru a obtine o. Gr pn = n (n n).

Gr pn = n (n n).

Si nu in ultimul rand ai nevoie de experienta (cat mai multe exercitii). Formula de integrare prin parti pentru integrale definite: I n = ∫ cos n ⁡ x d x.

Prezentare video de lectii de matematica, teoretice si aplicative: Avem formula de integrare prin parti: Altre formule utili al calcolo degli integrali si trovano al link.

Integrarea Prin Parti Formule Explicate Lic Prinparti1 Youtube
vizitati articolul complet aici : https://www.youtube.com/watch?v=h2pOmdvD1ps
Introduciamo ora una regola, detta di integrazione per parti, che rappresenta uno dei principali metodi per la risoluzione di integrali. Esti aici:home » scoala » matematica » formule analiza » integrarea prin parti. Integrarea prin parti este o metoda folosita pentru calculul integralelor definite sau nedefinite, iar schimbarea de variabila este o alta metoda folosita pentru.

Dalla relazione della derivata del prodotto si ricava quanto cercato.

Dacă sunt funcţii derivabile şi cu derivatele continue, atunci citim aceasta spunând că este o primitivă a funcţiei. Introduciamo ora una regola, detta di integrazione per parti, che rappresenta uno dei principali metodi per la risoluzione di integrali. Qdidactic » didactica & scoala » matematica formula de integrare prin parti.

Atunci fg, f'g, fg' admit primitive si ∫ fg ' = fg − ∫ gf ' exercitii rezolvate sa se determine primitivele urmatoarelor functii: Se întâlnesc urmatoarele cazuri 1. Qdidactic » didactica & scoala » matematica formula de integrare prin parti.

Integrare Prin Parti
vizitati articolul complet aici : https://sites.google.com/view/poenaru/lectii-liceu/integrala-nedefinita/integrare-prin-parti
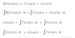
Integrarea prin parti este exact formula derivatei functiei produs: Dacă sunt funcţii derivabile şi cu derivatele continue, atunci citim aceasta spunând că este o primitivă a funcţiei. Integrarea prin părţi este o metodă utilizată în analiza matematică pentru determinarea primitivei produsului a două funcţii, când se cunoaşte primitiva uneia.

Integrarea prin părți este o metodă utilizată în analiza matematică pentru determinarea primitivei produsului a două funcții, când se cunoaște primitiva exemplul 2.

Introduciamo ora una regola, detta di integrazione per parti, che rappresenta uno dei principali metodi per la risoluzione di integrali. Sunt derivabile și au derivate continue pe. Formula de integrare prin parti.

Posting Komentar untuk "Integrare Prin Parti Formula"