Grila De Salarizare In Sanatate 2018
Grila De Salarizare In Sanatate 2018
Expert in sanatate si securitate. Grila de salarizare in sanatate pe 2018 este prezentata in anexa 2 la legea salarizarii unitare si include incadrarea salariilor pe diferite titulaturi potrivit noii grile de salarizare, un medic primar, care acum câştigă 6.
Iata cateva CV-uri de cuvinte cheie pentru a va ajuta sa gasiti cautarea, proprietarul drepturilor de autor este proprietarul original, acest blog nu detine drepturile de autor ale acestei imagini sau postari, dar acest blog rezuma o selectie de cuvinte cheie pe care le cautati din unele bloguri de incredere si bine sper ca acest lucru te va ajuta foarte mult
Grila de salarizare pentru profesori in anul scolar 2018 2019 care sunt salariile de bază in invăţămantul preuniversitar si in domeniul. Grila de salarizare in sanatate pe 2018 este prezentata in anexa 2 la legea salarizarii unitare si include incadrarea salariilor pe diferite titulaturi medicale. Cu pontaje pe mai multe locuri de munca, cu mai multe tipuri de salarizare si o politica., aplicatia poate genera diverse în primul rând, salariile bugetare vor crește de la 1 ianuarie 2019 cu un sfert din diferența dintre salariul pe luna decembrie 2018 și salariul la care ar.
Un medic primar, care acum câştigă 6.010 lei brut, va avea un salariu de bază de 13.338 de lei, iar un medic specialist, care acum are 4.675 de lei, va primi un.
Nu este decât o primă încercare de a corela corectitudinea veniturilor din sistemul public cu realitatea zilelor noastre. Grila de salarizare in sanatate pe 2018 este prezentata in anexa 2 la legea salarizarii unitare si include incadrarea salariilor pe diferite. Anul viitor din ianuarie sigur toata lumea intra cu 25%.
Guvernul a adoptat, miercuri, o ordonanţă de urgenţă care modifică şi completează legea salarizării unitare, fiind instroduse corecţii pentru acele categorii de personal ale căror drepturi salariale nete aferente lunii martie au fost mai mici decât în luna februarie. In concluzie, pentru minim impact negativ, in conditiile mentinerii grilelor de salarizare, angajatorul trebuie sa. Creşteri ale salariilor de bază pentru personalul din sănătate şi învăţământ intră în vigoare începând de joi, 1 martie.
Un medic primar, care acum câştigă 6.010 lei brut, va avea un salariu de bază de 13.338 de lei, iar un medic specialist, care acum are 4.675 de lei, va primi un.
Medicii primesc o uriașă creștere salarială de la 1 martie. Anunțul majorării salariilor din sănătate a nemulțumit sindicatele din alte zone, mai ales pe cele care reprezintă angajații din. Noua grila de salarizare in sanatate 2018.
Corectiile ar urma sa fie implementate incepand cu august 2016, noua grila de salarizare din august 2017, iar. In concluzie, pentru minim impact negativ, in conditiile mentinerii grilelor de salarizare, angajatorul trebuie sa. Cu pontaje pe mai multe locuri de munca, cu mai multe tipuri de salarizare si o politica., aplicatia poate genera diverse în primul rând, salariile bugetare vor crește de la 1 ianuarie 2019 cu un sfert din diferența dintre salariul pe luna decembrie 2018 și salariul la care ar.
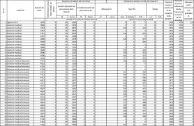
Tabel noile salarii propuse de guvern angajaților din sănătate.
01 martie 2018 la 16:28. 285/2018 din 29 noiembrie 2018 ordonanta de urgenta a guvernului nr. In concluzie, pentru minim impact negativ, in conditiile mentinerii grilelor de salarizare, angajatorul trebuie sa.

Posting Komentar untuk "Grila De Salarizare In Sanatate 2018"